Label Finder Tool
Overview
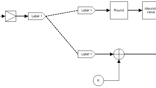
If you use a lot of labeled connections in your measurement configuration schematics, it is sometimes difficult to find out which label is connected to which other label.The Label Finder Tool draws a straight line between two or more connected labels across the page. This makes it easy to find the input or the output of a labeled connection, as is shown in the figure below.

Use the context menu (right click on the label) to switch the Label Finder on or off.
If you switch the label finder on on a sink-side label, then only a line is drawn to the source label. However, if the label finder is switched on for a source label, lines are drawn to all sink labels.
Details
The label finder only works for labels that are on the same page.The label finder lines remain on the drawing board until you switch off the label finder for the output or input label.