Label Finder Tool
Overview
The Label Finder Tool shows either by lines or by links which label is connected to which.Open by context menu: Label finder...
See also: "Tool windows in the designer".
If you use a lot of labeled connections in your measurement configuration schematics, it is sometimes difficult to find out which label is connected to which other label.
You can activate the Label Finder Tool by right-clicking on a label, so that the context menu is opened. Then select 'Label Finder'.
Use the context menu to switch the Label Finder on or off.
User Interface

1. Close
Closes this dialog.2. Word wrap check box
Check this check box to wrap long text lines to the next line, so that no horizontal scrolling is necessary.
Details
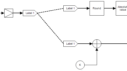
The Label Finder Tool draws a straight line between two or more connected labels across the page, and opens a windows that shows links to the other connected labels.The straight connection line makes it easy to find the input or the output of a labeled connection on one page, as is shown in the figure below.

If you switch the label finder on on a sink-side label, then only a line is drawn to the source label. However, if the label finder is switched on for a source label, lines are drawn to all sink labels.
Because the straight lines only work for labels on the same page, also a window is opened that shows all connected labels as links. Click on the links to let the designer point to that label in your design.
Only labels on unprotected pages will be listed. To find labels on protected pages, first unlock those pages with a password.